下記2品目に代表される、ユニークなアクリレートを取り扱っております。
(メタ)アクリレートモノマーのOEMや受託生産等のご相談にも柔軟に対応いたします。
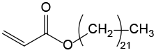
| 製品名 | BeA-N |
|---|---|
| 化学名 | ベヘニルアクリレート 別名:ドコシルアクリレート Behenyl acrylate (Docosyl acrylate) |
| 構造 | ![]() |
| 分子式 (分子量) | C25H48O2 (380.7) |
| CAS No. | 18299-85-9 |
| 用途 | 撥水剤、化粧品、樹脂改質剤 等 |
ベヘニルアクリレートは、長いアルキル基により、高い疎水性を持っております。また常温で固体、50℃に加温することで、流動性を得られます。
消防法上 指定可燃物(可燃性固体)に該当します。
| 一般的性状 | 外観 | 淡黄色液体 (50 ℃) 白色~淡黄白色固体 (30 ℃) |
|---|---|---|
| 溶解性 | 可溶:芳香族炭化水素類、エステル類 他 | |
| 品位 | 純分 | 97.0%以上 (GC) |
| APHA | 100以下 |
ローリー、ドラム、18L缶
| 日本 | 化審法 | (2)-3948 |
|---|---|---|
| アメリカ | TSCA | 有 |
| ヨーロッパ | EINECS | 242-182-6 |
| 製品名 | HRD-01 |
|---|---|
| 化学名※n=1 | 2-(o-フェニルフェノキシ)エチルアクリレート 2-(o-Phenylphenoxy)ethyl acrylate |
| 構造 | ![]() |
| 分子式 (分子量) | C17H16O3 (268.3) |
| CAS No. | 72009-86-0 |
| 用途 | 光学用樹脂(レンズ、フィルム、基板)、樹脂改質剤、歯科医療用材料、特殊可塑材料 等 |
高屈折率を有する低粘度機能性モノマーです。
光学用樹脂の原料としてだけでなく、高粘度材料の希釈剤としても有用です。
TXフリー(トルエン、キシレンフリー)です。
| 一般的性状 | 外観 | 淡黄色透明液体 |
|---|---|---|
| 粘度 | 140 mPa・s (25 ℃) | |
| 屈折率 | 1.577 (25 ℃) | |
| 品位 | 純分 | 97.0%以上 |
| APHA | 100以下 | |
| 他 | TXフリー |
ドラム、18L缶
| 日本 | 化審法 | (4)-1693 |
|---|---|---|
| アメリカ | TSCA | 有 |
| ヨーロッパ | EINECS | 500-247-9 |
受託製造、開発・試作支援のご相談や
当社へのお問合せお問合せ
